Radiación de Hawking
La Radiación Hawking es la primera ecuación cuantificable que incorpora factores de la relatividad general y la física cuántica.
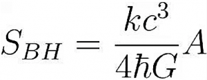
Formula
Conecta importantes unidades termodinámicas como la entropía, representada por la inicial S, hasta propiedades físicas de un agujero negro, es decir, su área (A). Las otras letras que componen la fórmula son constantes del universo; k es la constante Boltzmann, c es la velocidad de la luz, ħ es la constante Planck reducida y G es la constante de la gravitación universal.

Comentarios
Publicar un comentario